

JQY-1A/XJQY-1A/ZJQY-1A型 高精度經緯儀水準儀檢定裝置
產品簡介 Product introduction
JQY-1A/XJQY-1A/ZJQY-1A型 高精度經緯儀水準儀檢定裝置,本儀器能在室內很方便地對光學經緯儀、電子經緯儀進行檢定、測試、和維修等工作,如對經緯儀水平角測角示值誤差,光學對中器的視軸與豎軸的同軸度誤差及經緯儀望遠鏡視準軸、橫軸及豎軸等軸線幾何關系,對望遠鏡調焦運行誤差等進行檢測,特別是解決了對經緯儀豎盤測角示值誤差的檢測,從而使它能按照經緯儀國家計量檢定規程(JJG414-2003)中的項目進行測試、檢定。本儀器也能對水準儀 I 角、豎軸回轉精度、交叉誤差等項目進行檢定、校準。
高精度經緯儀檢定裝置,是用于檢定經緯儀(含光學經緯儀,電子經緯儀和全站儀測角部分)的專用裝置,主要有多目標式和多齒分度臺式兩種結構形式:多目標式檢定裝置以4-6只平行光管作為水平方向無窮遠目標,以不少于5個位置的平行光管作為豎直方向無窮遠目標;多齒分度臺式檢定裝置是由能產生標準角的多齒分度臺和平行光管組成。
水準儀檢定裝置,是一種能產生一條水平準線,并可實現多目標的測量裝置,該裝置主要用于水準儀檢定或校準。按結構可分為自動安平式和自準直式,按水平準線偏差其準確度可分為1級、2級和3級。
工作原理 Working principle
本儀器采用一臺立式多齒分度臺、一臺臥式多齒分度合、一臺檢調管、一臺自準直光管(作平行光管用)和儀器座組成,自準直光管焦平面上有刻線分劃板,通過立式多齒分度臺的轉動,與平行光管一起構成任意角度水平方向無窮遠目標,同樣,通過臥式多齒分度臺的轉動,也能構成任意角度豎直方向無窮遠目標,因此,它能很方便地模擬各種情況,對儀器進行檢定。
性能特點 Performance characteristics
1、本儀器采用了臥式多齒分度臺與平行光管能完成對經緯儀和水準儀各項目的檢定,特別是能夠實現對經緯儀豎盤可使用的全部范圍進行檢定,是目前國內能提供豎直角真值的裝置之一。
2、采用多齒分度臺作為本儀器的角度標準,使得儀器量值溯源簡單,該儀器只需通用儀器(多面棱體、自準直儀),用角度計量中常用的全組合排列互比法,即可檢定出儀器的不確定度,且是在工作狀態下進行檢定,檢定后不再改變儀器狀態,溯源準確、可靠。
3、儀器具有自校功能,在檢測水準儀i角時,可隨時對標準角進行校準,一旦失準,能隨時發現,且調整方便。
4、在檢定和校準經緯儀過程中,可以直接在工作臺上一邊校準、一邊維修,不用每次都拆裝,節省工作時間。
5、無需專用地基,結構緊湊,占地面積小。
本檢定裝置可檢測內容:
一,針對《JJG 414-2011 光學經緯儀 檢定規程》中7.2 檢定項目 要求的檢定項目表,本系列設備標配可檢定項目如下:
1、經緯儀部分:
1.1)、被檢經緯儀視軸高度的調整;外觀及各部件的相互作用;
1.2)、水準器軸與豎軸的垂直度的檢定;
1.3)、照準部旋轉正確性的檢定;
1.4)、望遠鏡十字分劃板豎絲的鉛垂性的檢定;
1.5)、光學測微器行差的檢定;
1.6)、光學測微器隙動差的檢定;
1.7)、視軸相(視準軸)與橫軸的垂直度的檢定;
1.8)、橫軸與豎軸的垂直度的檢定;
1.9)、豎盤指標差的檢定;
1.10)、望遠鏡調焦運行誤差的檢定;
1.11)、照準部偏心差和水平度盤偏心差的檢定;
1.12)、光學對中器的視準軸與豎軸的同軸度的檢定;光學對中器對中誤差的檢定;
1.13)、豎盤指標自動補償誤差的檢定;【需選配二維微傾臺才可檢此項目】
1.14)、一測回水平方向標準偏差及測角示值誤差的檢定;
1.15)、一測回豎直角測角標準偏差及測角示值誤差的檢定。
二,針對《JJG 425-2003 水準儀 檢定規程》中6.2 檢定項目 要求的檢定項目表,本系列設備標配可檢定項目如下:
2、水準儀部分:
2.1)、外觀及各部件功能相互作用;
2.2)、水準器角值;【本項暫不可檢】
2.3)、豎軸運轉誤差和豎軸整置誤差;
2.4)、望遠鏡分劃板橫絲與豎軸的垂直度;
2.5)、視距乘常數;【本項暫不可檢】
2.6)、測微器行差與回程差;
2.7)、數字水準儀視線距離測量誤差;【本項暫不可檢】
2.8)、視準線的安平誤差;【需選配二維微傾臺才可檢此項目】
2.9)、望遠鏡視軸與管狀水準泡軸在水平面內投影的平行度(交叉誤差);
2.10)、視準線誤差(i角);
2.11)、望遠鏡調焦運行誤差。
2.12)、自動安平水準儀-補償誤差及補償器工作范圍;【本項暫不可檢】
2.13)、自動安平水準儀-雙擺位誤差;【本項暫不可檢】
2.14)、測站單次高差標準差;【本項暫不可檢】
2.15)、自動安平水準儀磁致誤差;【本項暫不可檢】
設備結構:
本儀器由于使用了多齒分度臺,只要一臺自準直光管(以下簡稱光管)就能完成對經緯儀和水準儀各項目的檢定,特別是對經緯儀豎盤的檢定,結構緊湊,占地面積小,使用方便。
儀器外形如下圖正所示,利用升降螺母2轉動,使升降螺桿1帶動立式多齒分度臺3升降,使望遠鏡視軸高度不同的儀器均能在本儀器上檢定;通過臥式多齒分度臺9的手柄10的轉動,抬起臥式多齒分度臺臺面,臥式多齒分度臺臺面轉動可構成豎直方向各種角度,以滿足對經緯儀堅盤的檢定;通過立式多齒分度臺3上的手柄7的轉動,抬起立式多齒分度臺臺面,轉動多齒分度臺臺面至任意角度,可獲得水平方向各種角度,用來檢定經緯儀水平度盤。
1一升降螺桿 2-升降螺母 3-立式多齒分度臺 4一儀器工作臺 5—水泡 6-微調機構 7一立式多齒分度臺手柄 8一定位螺旋 9一臥式多齒分度臺 10—臥式多齒分度臺手柄 11一檢調管及其安裝座 12一自準直光管 13—底腳螺釘
技術指標 Technical indicators
1、水平角標準器的示值誤差≤0.3″;
2、豎直角標準器的綜合示值誤差≤1″;
3、水平度盤分度誤差≤0.2″;
4、豎直度盤分度誤差≤0.7″;
5、對中光學系統中設有0.6m及1.5m對中分劃飯,其等效格值均為2mm;
6、工作高度≈1200mm,即臥式多齒分度臺軸線離地面高度;
7、儀器工作臺升降范圍:0-300mm;
8、固定中心螺絲規格:M16及英制5/8英寸;
9、照明燈泡規格:6.3V/2.1W;
10、平行光管標稱物鏡焦距: f=550mm,相對孔徑1:10;分劃板標稱格值30″/格;
11、外形尺寸:1060×920×1400mm;
12、【水準儀檢定裝置】多目標偏離準線誤差絕對值:0.2mm;
13、【水準儀檢定裝置】水平準線偏差絕對值:≤3″;
14、【經緯儀檢定裝置】準線光管視準線的直線度:≤3″;
15、【經緯儀檢定裝置】平行光管分劃板分度誤差:名義值30″/格;分度誤差≤±1″/格;
16、【經緯儀檢定裝置】水平目標平行光管位置正確性:≤15″;
17、【經緯儀檢定裝置】豎直角目標測量范圍:±30°;
18、【經緯儀檢定裝置】豎直角高低位置目標與水平方向目標夾角的對稱度:≤30′;
19、【經緯儀檢定裝置】水平目標定位重復性:≤0.3″;
20、【經緯儀檢定裝置】豎直目標定位重復性:≤1″;
21、【經緯儀檢定裝置】立軸多齒分度臺最大分度間隔誤差(FDT-552型):≤0.3″;
22、【經緯儀檢定裝置】豎直角標準最大分度間隔誤差:≤1″;
精度指標:
1、JQY-1A型 高精度經緯儀、水準儀檢定裝置:
1)、水平度盤分度誤差≤0.2″;
2)、豎直度盤分度誤差≤0.7″
3)、豎直角標準器綜合示值誤差≤1″;
2、XJQY-1A型 細分高精度經緯儀、水準儀檢定裝置:
1)、水平度盤分度誤差≤0.2″;
2)、豎直度盤分度誤差≤0.7″
3)、豎直角標準器綜合示值誤差≤1″;
3、ZJQY-1A型 程控高精度經緯儀、水準儀檢定裝置:
1)、水平度盤分度誤差≤0.2″;
2)、豎直度盤分度誤差≤0.7″
3)、豎直角標準器綜合示值誤差≤1″;
標準配置 Standard configuration
1、檢定裝置主體:1套;
2、FDT-552F型 立式高精度精密多齒分度臺(0.2″):1套;
3、WFDT-552型 立臥兩用型高精度精密多齒分度臺:1套;
4、平行光管支架:1套;
5、550mm標準平行光管:1套;
6、高精度檢調管:1套;
7、定位螺旋(公制、英制):各1套;
8、主軸升降系統:1套;
9、調平地腳螺釘:3套;
10、光管鎖緊裝置:1套;
11、使用說明書:1份;
12、產品合格證:1份;
13、產品保修卡:1份;
使用方法 Use
1、儀器的正常工作條件:
室內溫度15~30℃,相對濕度不大于65%,電源電壓220士20V,應安裝在離振動源較遠、穩定性良好的地基上,儀器必須經過現場檢驗,合格后方可投入使用。
2、被檢經緯儀的安置及其視軸高度的調整:
將被檢經緯儀旋在圖1所示工作臺4的定位螺旋8上,轉動升降螺母2升降工作臺,把經緯儀望遠鏡視準軸與平行光管光軸調到大致等高后鎖緊升降螺桿。旋轉照準部使長水泡與立式多齒分度臺下的兩支承螺釘的連線平行,調節經緯儀腳螺旋使水泡居中,固定照準部。然后,轉動立式多齒分度臺的手柄,使立式多齒分度臺上、下齒盤脫開嚙合,上齒盤旋轉180°后,嚙會上、下齒盤,看經緯僅長水泡是否居中,若不居中,調整立式多齒分度臺底部的微調機構6,使水泡移動偏差的一半,調整經緯儀腳螺旋使長水泡居中,再使上齒盤旋轉180°,看長水泡位置是否不變,若改變,重復以上操作;上齒盤旋轉90°,調整經緯儀腳螺旋使長水泡居中,上齒盤旋轉180°,嚙合上、下齒盤,看長水泡位置是否改變,若改變,調整調整立式多齒分度臺底部的微調螺母6,使水泡移動偏差的一半,調整經緯儀腳螺旋使長水泡居中,上齒盤再旋轉180°,看水泡位置是否改變。以上過程需反復調整至上齒盤在任意位置與下齒盤嚙合,長水泡位置均不變。這說明立式多齒分度臺旋轉軸與大地水平而垂直。
然后,按經緯儀檢定規程要求,精確整平經緯儀,這樣即完成安置。
以下敘述的各項檢定、測試等工作時,被檢經緯議均應按上述步驟正確安置,其視軸高度一般也應先調整好;各鎖緊螺釘均應在鎖緊狀態,以下就不再重復敘述。
3、水準器軸與豎軸的垂直度的檢定
將被檢經緯儀精確整平,旋轉照準部使其管狀水準器與任意兩腳螺旋連線平行,調整腳螺旋使水準器泡精確居中,旋轉照準部180°,觀察氣泡位置,取氣泡位置偏移量的一半為垂直度偏差。
4、照準部旋轉正確性的檢定
將經緯儀精確整平,使豎軸鉛垂,讀取照準部上的管狀水準器水準氣泡兩端讀數;順時針方向旋轉照準部,每隔45°讀取水準氣泡一次,順時針方向進行兩周檢定。
逆時針方向旋轉照準部,每隔45°讀取水準氣泡一次,共進行兩周檢定。
取每一周中對徑位置讀數的平均值,取四周檢定中最大與最小之差為照準部旋轉正確性。
5、望遠鏡分劃板豎絲的鉛垂度的檢定
在你被檢經緯儀4m左右處懸掛一錘球,其懸絲必須細直,錘球浸在油或水內,以防擺動。
精確整平經緯儀,觀察分劃板豎絲是否與錘球懸絲平行,使豎絲上端與垂線影像重合。觀察豎絲下端,不應有目力可見的不重合現象。
望遠鏡分劃板堅絲的鉛垂度也可用目標平行光管檢定,用經緯儀橫絲和豎絲的交點,沿目標平行光管橫絲從視場左邊走到右邊,不應有目力可見的偏離。
6、光學測微器行差的檢定
按檢定規程操作即可,無需特殊調整
7、光學測微器隙動差的檢定
按檢定規程操作即可。
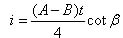
8、視軸相與橫軸的垂直度的檢定
精確整平經緯儀,以盤左位置瞄準光管分劃板十字絲中心,固定照準部,望遠鏡縱轉180°,臥式多齒分度臺轉動180°,用豎絲中心位置在光管分劃板橫絲上讀取格值b1;臥式多齒分度臺轉回原位,以盤右位置重復上述操作,讀取格值b2,由下式計算出它的誤差:
式中: c-----垂直度誤差(″)
t-----光管分劃板橫絲格值(30″)
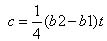
9、橫軸與豎軸的垂直度的檢定
將經緯儀精確整平后,臥式多齒分度臺轉到離水平30°(或45°)位置,望遠鏡以盤左位置向上瞄準光管分劃板十字中心;臥式多齒分度臺轉到離水平-30°(或-45°)位置,望遠鏡向下轉動,在光管分劃板的橫絲上讀取格值A;再以盤右位置重復上述操作,讀取格值B,此為一測回,利用下式進行計算:
式中:t-----光管分劃板格值(30″);
β-----光管位置與水平方向夾角(30°或45°)
這一檢定應不少于3個測回,取平均值為最后結果。
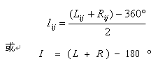
10、豎盤指標差的檢定
精確整平儀器,以盤左位置用望遠鏡分劃板十字絲橫絲瞄準光管分劃板十字絲中心,讀取豎直度盤讀數,取兩次讀數的平均值L;望遠鏡翻轉180°,旋轉照準部,以盤右位置重復上述檢定,取兩次讀數的平均值R(對帶有豎直度盤指標水準泡的儀器,每次讀數前均需將該水準泡精確置平);用下式可計算出豎直度盤指標差I(秒);
或
11、望遠鏡調焦運行誤差的檢定
將經緯儀安置在檢定臺上,精確整平儀器;轉動儀器照準部,瞄準檢調管無窮遠分劃板,再轉動檢調管調整手輪至最短視距,調焦經緯儀使檢調管目標十字線分劃板清晰,看經緯儀十字絲與檢調管十字絲是否重合,若不重合,左右位置調整檢調管工作臺千分螺絲,使兩十字線豎絲重合;上下位置升降立式多齒分度臺,使兩十字線橫絲重合(此時各鎖緊螺釘均應固緊,經緯儀精確整平)。上述操作應反復進行至無窮遠及最短視距時兩十字絲中心均重合。
經緯儀以盤左位置從最短視距到無窮遠對各目標逐個瞄準,并讀取水平角讀數,再從無窮遠到最短視距進行上述檢定作為返測,取各點往返測讀數的平均值Li。
以望遠鏡盤右位置重復上述檢定,取平均值Ri;
視軸各點的照準差按下式求得:
望遠鏡調焦運行誤差按下式計算:
取ΔCi絕對值最大值為檢定結果。
若要求更高檢定精度,則將檢調管繞其光軸旋轉180°,重復上述操作,取兩次結果的平均值為最終結果。
12、照準部偏心差和水平度盤偏心差的檢定
按照檢定規程操作即可。
13、光學對中器的視準軸與豎軸的同軸度的檢定
固定經緯儀的儀器座,調整經緯儀三底腳螺釘,使光學對中器分劃板中心與升降螺桿中0.6m和分劃板中心重合,轉動照準部,觀測距經緯儀0.6m處分劃板上的最大變化量;再調整經緯儀三底腳螺釘,使光學對點器的視軸與升降螺桿中1.5m處分劃板中心重合,轉動照準部,觀測距經緯儀和1.5m處分劃板上的最大變化量。取上述檢定所得的最大變化量絕對值的一半為檢定結果。
14、豎盤指標自動補償誤差的檢定
將附件微傾工作臺安裝在儀器工作臺上,將經緯儀安置在微傾工作臺上,使經緯儀望遠鏡與平行光管視軸等高,整平經緯儀。
以平行光管分劃板十字絲為目標,調整微傾狀態,使經緯儀先后處于5個狀態(經緯儀豎軸位于鉛垂、前傾、后傾、左傾、右傾2′的整置狀態為i=1、2、3、4、5)。每個狀態進行兩個測回(測回號j=1、2)。讀取豎直度盤讀數正、倒鏡讀數Lij、Rij,得各狀態正、倒鏡讀數平均值Li、Ri。計算各狀態的天頂距或豎盤指標差:
式中:Zi-----第i狀態的天頂距;
Ii-----第i狀態的豎盤指標差。
或
以豎軸鉛垂時天頂距和豎盤指標差讀數為基準,按下式計算天頂距和豎盤指標差變化量:
式中:ΔZi-----第i狀態的天頂距變化量;
ΔIi-----第i狀態的豎盤指標差。
取ΔZi(或ΔIi)的絕對值最大值為檢定結果。
若無此附件,也可通過檢定整置工作臺下微調機構6升降來實現5個狀態。
15、一測回水平方向標準偏差及測角示值誤差的檢定
精確整平儀器后,對經緯儀進行水平方向角觀測,其測目數及各測回水平度盤的整置按檢定規程要求執行。
立式多齒分度臺置于0°,轉動照準部照準光管目標,轉動度盤變換鈕置水平度盤于0°,順時針方向旋轉照準部一周,盤左位置將經緯儀瞄準光管,讀數兩次,立式多齒分度合按預先布點逆時針方向旋轉至第2檢定位置,經緯儀照準部以順時針方向旋轉并照準光管目標,讀數兩次。以同樣的方向檢定3,4,…,n位置,最后回到零位。回零讀數不參與測回水平方向標準偏差計算,回零差超過規程要求時需重做該測回。
望遠鏡翻轉180°,逆時針方向旋轉照準部照準目標,盤右位置讀數兩次,立式多齒分度臺順時針方向轉到第2檢定位置,經緯儀照準部以逆時針旋轉照準目標,進行第2位置檢定。以同樣的方向檢定3, 4,…, n位置,最后回到零位。
各受檢點的分度誤差φij按下式求得:
φij=aij-ai0-a標
式中:aij-----各受檢點讀數;
ai0-----零位讀數;
a標-----多齒分度臺標準角值。
各受檢點的方向誤差:
(i=1、2,j=1、2、3、…、n)
一測回水平方向標準偏差按下式求得:
式中 m-----測目數
n-----受檢點數
取φij最大值和最小值之差為測角示值誤差:
16、一測回豎直角標準偏差及測角示值誤差的檢定
這一檢定接檢定規程規定,在度盤范圍內,取大致均布的6~12個位置(或根據需要取更多點數),必須包括臥式多齒分度臺90°位置,建議每10齒做一測點,在90°正、負各取5點,即 57°23′28.7″、63°54′46.96″、70°26′5.22″、76°57′23.48″、83°28′41.74″、 90°、96°31′18.26″、103°2′36.52″、109°33′54.78″、116°5′13.04″、122°36′31.3″十一個目標,臥式多齒分度臺轉過一個角度,經緯儀瞄準目標,進行盤左和盤右觀測。在每一位置觀測時,得觀測值Lij、Rij。在每一位置觀測時,讀數兩次取平均值。
豎盤指標差按下式計算:
于是可求出各目標觀測值aij:
式中:aij———各受檢點讀數;
ai0———臥式多齒分度臺90°時觀測值;
a標——— 臥式多齒分度臺標準角值。
各受檢點的方向誤差:
一測回豎直方向標準偏差按下式求得:
式中 m——測目數
n——受檢點數
水準儀檢定方法:
1、豎軸運轉誤差和豎軸整置誤差
將水準儀安置在工作臺上,使望遠鏡視軸方向與任意兩個腳螺旋位置平行,整置氣泡居中(吻合),將望遠鏡旋轉180°,若氣泡偏離,分別, 用微傾螺旋和腳螺旋各調一半,再將望遠鏡轉至90°位置,用另一只腳螺旋使水泡居中,反復上述操作,直至準確整平水準儀,然后每隔約45°轉動望遠鏡,觀察氣泡每一位置的偏移量,共轉兩周,取最大量作為檢定結果。
在豎軸運轉誤差檢定后,觀察水準儀上直交型或圓水準泡是否居中,水準儀旋轉至任一位置時,該水準器的最大偏移量為豎軸整置誤差
2、望遠鏡分劃板橫絲與豎軸的垂直度
水準儀固定在工作臺上,瞄準目標平行光管十字絲交點,轉動水準儀水平微動手輪使光管十字絲交點沿望遠鏡分劃板橫絲一端移至另一端,在光管豎絲上讀取偏移量ε,則垂直度μ按下式計算:
式中: ε————目標光管上讀數,(″)
2ω————望遠鏡視場角,(°)
3、望遠鏡視軸與管狀水準泡軸在水平面內投影的平行度(交叉誤差)
1一目標自準直光管 2一被檢水準儀A.B、C三個腳螺旋
水準儀安置在儀器上,使B、C兩腳螺旋的連線垂直于視軸如圖2,固定并整平儀器,水準儀瞄準自準直光管,管狀水泡符合,以水準儀橫絲在光管分劃板上讀數d1,用B、C兩腳螺旋以相反方向轉動,在水準儀目鏡中觀察到分劃板如圖3,即水準儀橫絲與分劃板橫絲刻度70格處相交,與分劃板堅絲相交在1.8格處,表明水準儀整體繞望遠鏡軸旋轉約1.5°。符合管狀水泡,以水準儀橫絲在光管分劃板上讀數d2。
按上述操作方法,使儀器向另一側旋轉1.5°,得讀數d3和d4。
管狀水準泡偏離居中位置β與儀器交叉誤差E的計算式如下:
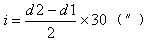
4、視準線誤差(i角)
水準儀安置在儀器上,整平后瞄準光管分劃板,管狀水泡符合,以水準儀橫絲在分劃板豎絲上讀數d1(帶正負號,格),臥式多齒分度臺轉180°,望遠鏡旋轉180°,瞄準光管分劃板,同樣讀數d2,i角計算式如下:
5、望遠鏡調焦運行誤差
水準儀固定在儀器上,檢調管調焦至無窮遠位置,整平水準儀,照準檢調管,使水準儀十字絲與目標分劃飯十字絲重合;將檢調管調至近點,水準儀調焦至近點,若兩十字絲不重合,上下通過升降工作臺調整,左右通過檢調管工作臺上微調絲桿調整,如此反復操作,直至檢調管無窮遠和近點目標均在水準儀十字絲交點為止。
水準儀近點到無窮遠點依次將望遠鏡調焦至檢調管各點目標十字線清晰,看分劃中心與檢調管是否重合,如不重合,左右方向通過檢調管微調絲桿讀取誤差,上下方向通過與水平方向對比估出誤差。再由無窮遠點到近點重復上述操作,取各點往返兩次讀數的平均值A;。
調焦時視軸的變動誤差按下式計算:
取Wi絕對值最大值為檢定結果。
若要求更高檢定精度,則將檢調管繞其光軸旋轉180°,重復上述操作,取兩次結果的平均值為最終結果。
注:若有附件平板測微器,則此項檢測可在平板測微器上讀數。
注意事項 Precautions
1、儀器在使用過程中,禁止在臥式多齒分度臺上的自準直光管及平衡支架上放置物品;限位裝置是用來防止超過極限工作位置,不得撞擊,臥式多齒分度臺在轉動過程中,應避免與立式多齒分度臺和經緯儀相碰,以免影響儀器精度或造成儀器損壞。
2、多齒分度臺在使用過程中,必須注意只有在手柄旋轉180°,即上、下齒盤完全脫離嚙合時,才能轉動;在轉動過程中,禁止旋轉手柄,以免碰壞齒盤,影響精度;只有在齒盤轉動到位,刻度線與指標線對準,用手扶住齒盤刻度圈,轉動手柄,使齒盤輕輕嚙合,應避免撞擊。當轉動手柄嚙合齒盤感覺有阻力時,不能強行嚙合,應反轉手柄,讓齒盤轉動微小角度后,再嚙合,否則會損壞齒盤。
3、儀器上所有螺釘,未經許可,不得隨意拆卸,以免影響儀器精度。
勁爆優惠,觸手可得!
![]() |
400-9696-970 |
![]() |
13661910343 |
![]() |
021-20969529 |
![]() |
honc@honc17.com |
![]() |